মাকসুদ আহম্মদ, বিশেষ প্রতিবেদক »
রেলের ই-জিপিতে তুঘলকি শর্ত দিয়ে পুরো টেন্ডার প্রক্রিয়াকে বিতর্কিত করে তুলছে একটি চক্র। শর্ত পূরণ করতে না পারলে আবারো রি-টেন্ডারের পক্রিয়া শুরু করা হয়। চক্রান্তের টেন্ডারের কোপানলে পড়ে ক্ষতিগ্রস্ত হচ্ছে সাধারণ ব্যবসায়ীরা। রেলের ১০০ এমজি মেরামত প্রজেক্টের টেন্ডার আইডি নং-৬৩১৯৭০ গত ২৭ ফেব্রুয়ারি টেন্ডারটির ওপেনিং হলেও ১জুন পর্যন্ত দীর্ঘ সাড়ে তিন মাসেও সিদ্ধান্ত নেয়নি কারসাজির আর্শিবাদপুষ্ট কমিটি। টেন্ডার কার্যকর নাকরে কমিটি ৫৬ হাজার টাকার পে-অর্ডার আটকে রেখেছে সাড়ে তিন মাস। এদিকে, ব্যাংক ঋণের সুদ গুনছে ক্ষুদ্র ব্যবসায়ীরা। সরবরাহকারীদের প্রশ্ন— বাজারে বিদ্যমান পণ্য বা ক্ষুদ্র শিল্প কারখানায় তৈরিযোগ্য পণ্যের ক্রয়ক্ষমতা সরবরাহকারীর থাকলে অভিজ্ঞতার প্রয়োজন আছে কি?
সরকারি ক্রয় প্রক্রিয়াকে কলুষিত করতেই এমন চক্রান্ত করছে রেলে ইজিপি’র ক্রয় কমিটি। সেন্ট্রাল প্রকিউরমেন্ট টেকনিক্যাল ইউনিট (সিপিটিউ) এর নজরদারি না থাকায় প্রতিনিয়ত কারসাজির মাত্রা বেড়েই চলেছে রেলের টেন্ডারে। কারসাজির টেন্ডার অনলাইনে লাইভ দিয়ে স্বচ্ছতা দেখানোর চেষ্টা করলেও নেপথ্যে রয়েছে স্বার্থ সংশ্লিষ্ট নীল নকশা। চক্রান্তের অন্বেষায় কারসাজির টেন্ডার সাজাতে মরিয়া টেন্ডার কমিটি। একটি চক্রকে টেন্ডার পাইয়ে দিতে যতসব কারসাজি চলছে ডিরেক্টর ইনভেন্ট্রি কন্ট্রোলের দফতর থেকে। ইজিপিতে টেন্ডারে চক্রান্তের কালিমা লেপন করতে গিয়ে টেন্ডারের নোটিশ থেকে শুরু করে টেন্ডার মূল্যায়ন পর্যন্ত কারসাজির অন্ত নেই।
অসাধু কর্মকর্তাদের সর্বাত্মক সংশ্লিষ্টতার কারণে রাজস্ব খাতে ক্ষতিগ্রস্ত হচ্ছে সরকার। শুধু তাই নয় সরকারকে কলুষিত প্রয়াসে থাকা চক্রকে দমাতে কোন পদক্ষেপ নিচ্ছে না রেল মন্ত্রণালয়ের সংসদীয় কমিটি। এমনকি একের পর প্রকৌশল ও সরঞ্জাম বিভাগের নীল নকশার ইজিপিতে ডিরেক্টর জেনারেল, এডিজি (রোলিং স্টক) আর এস এবং রেলের পূর্বাঞ্চলীয় জিএম জাহাঙ্গীর হোসেনও কোন ধরনের পদক্ষেপ নেওয়ার নজির দেখাতে পারেননি। চক্রের রোষাণলে পড়ে সরকারের খরচ কমানোর কথা বাদ দিয়ে উল্টো ক্ষতি নিশ্চিত করছে টেন্ডার ই-ভ্যালুয়েশন কমিটি। নতুন ও সাধারণ ব্যবসায়ীরা যেন টেন্ডারে অংশ নিতে না পারে এমন তুঘলকি শর্ত দিয়ে জটিল করে তোলা হচ্ছে ই-জিপিতে টেন্ডার প্রক্রিয়া।

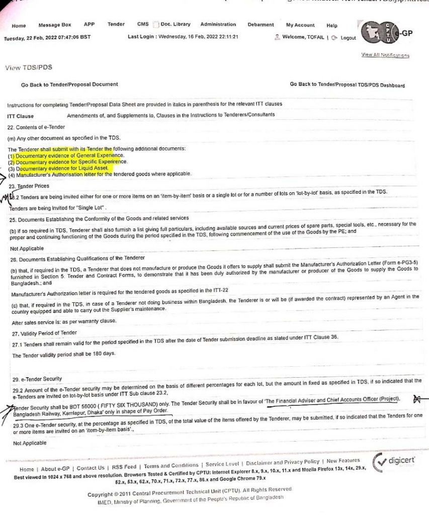
অনলাইনে টেন্ডার শর্ত অনুযায়ী অভিযোগ রয়েছে, দুই বছরের জেনারেল এক্সপেরিয়েন্স থাকতে হবে। গত তিন বছরের মধ্যে সর্বোচ্চ দুটি চুক্তিপত্রে কমপক্ষে ২০ লাখ টাকার পণ্য সরবরাহের চুক্তিপত্র, কমপক্ষে ২৫ লাখ টাকার তরল সম্পত্তি ও ব্যাংক প্রত্যয়ন পত্র, ম্যানুফ্যাকচারারের বা উৎপাদনকারীর অনুমতি পত্র দাখিল করতে হবে।
প্রশ্ন উঠেছে, এ টেন্ডারে যে ২৫টি পণ্য ক্রয়ের প্রস্তাবনা দেওয়া হয়েছে এর বেশিরভাগ পণ্যই বাজারে বিদ্যমান রয়েছে। এরপরও কেন ম্যানুফ্যাকচারারের অথরাইজেশন লেটার চাওয়া হল তা এখন রহস্যের জাল বুঁনছে।
কোন ধরনের মামলায় বা ঝামেলায় জড়িত কিনা, কত বছরের জেনারেল এক্সপেরিয়েন্স রয়েছে, একই ধরনের পণ্যের কতটি চুক্তি রয়েছে, এসব চুক্তির মূল্য কত, কোন সময়ে বা বছরে এসব চুক্তি করা হয়েছে, তরল সম্পত্তির ব্যাংক প্রত্যয়ন রয়েছে কিনা। এমন কিছু তুঘলকি শর্ত দেওয়া হয়েছে এই টেন্ডারের ডকুমেন্ট শিটে (টিডিএস)। পণ্যের ইন্টারন্যাশনাল স্ট্যান্ডার্ড অরগানাইজেশন (আইএসও) অথবা হোম স্ট্যান্ডার্ড সার্টিফিকেট থাকতে হবে পণ্যের গুনগত মান নির্ধারণে। প্রস্তুতকারী প্রতিষ্ঠানের অনুমোদন পত্রের কপি জমা দিতে হবে।
আরো অভিযোগ রয়েছে, সরকারকে ক্ষতিগ্রস্ত করে অধিকমূল্যে পণ্য সরবরাহের চুক্তি সম্পাদনের অপচেষ্টা চালাচ্ছে কিনা ক্রয়কারী কর্তৃপক্ষ তা খতিয়ে দেখা প্রয়োজন। কৌশলে বিতাড়িত করা হচ্ছে সর্বাধিক সরবরাহকারীকে। সরবরাহকারীদের মতে, যেহেতু এই পণ্যের বাজার সর্বত্র রয়েছে সেহেতু কর্তৃপক্ষ বিশেষ কোন সরবরাহকারীর ইচ্ছাকৃত শর্তারোপ না করে সাধারন অভিজ্ঞতা সম্পন্ন সরবরাহকারীদের সুযোগ দিলে অপেক্ষাকৃত কম মূল্যে ক্রয়াদেশ চুক্তি সম্পাদন সম্ভব।

এ ব্যাপারে ডিআইসি প্রকৌশলী আনোয়ারুল ইসলাম বাংলাধারাকে বলেন, টেন্ডারের শর্ত সরবরাহকারীরা সম্পূর্ণভাবে পূরণ করতে না পারলে রি-টেন্ডার হবে। কোন ধরনের ছাড় দেওয়া হবে না। যারা টেন্ডার শর্ত পূরণ করতে পারবে না তারা টেন্ডারে অংশ না নিলেই পারে। নন রেসপনসিভ বিডারকে কাজ করার সুযোগ দেওয়া যাবে না।
অভিযোগ উঠেছে, লোকাল বাজারে বিদ্যমান ও সহজলভ্য এমন পণ্যে উৎপাদকের বা নির্মাতার ইন্টারন্যাশনাল স্ট্যার্ন্ডাড অরগানাইজেশন (আইএসও) সার্টিফিকেট চাওয়া হচ্ছে। রেলের এ ধরনের টেন্ডার ওপেনিং কমিটিতে চেয়ারম্যান হিসেবে রয়েছেন ডিরেক্টর ইনভেন্ট্রি কন্ট্রোল (ডিআইসি) প্রকৌশলী আনোয়ারুল ইসলাম ও মেম্বার সেক্রেটারী ডিস্ট্রিক কন্ট্রোলার অব স্টোর্স (জেনারেল) আসিফ উল ইসলাম। তবে টেন্ডারটি অনুমোদন করবেন রেলের পূর্বাঞ্চলের পাহাড়তলীস্থ কারখানার বিভাগীয় তত্ববধায়ক (ডিএস)।
অভিযোগ রয়েছে, পাহাড়তলীস্থ রেলের ক্যারেজ ও ওয়াগন মেরামত কারখানায় ১০০ মিটারগেজ (এমজি) প্যাসেঞ্জার কোচ মেরামত প্রজেক্টের ক্রয় প্রক্রিয়াকে কেন জটিল করা হচ্ছে। সেকেন্ড ফেইজের টেন্ডার আইডি নং-৬৩১৯৭০ গত ২৭ ফেব্রুয়ারি টেন্ডারটির ওপেনিংয়ের পর সাড়ে তিনমাস পার হয়েছে। এপ্রিলে টেন্ডার প্রক্রিয়া শেষ হওয়ার অনলাইনে তথ্য থাকলেও তা উপেক্ষিত। মূলত, সিঙ্গেল লটের এই টেন্ডারটি এর আগেও গত ১৭ ফেব্রুয়ারি ওপেনিং করার কথা ছিল। তবে সরবরাহকারীর পক্ষে কারসাজি করতে গিয়ে সরকারি বন্ধের দিন তথা আর্ন্তজাতিক মাতৃভাষা দিবসের দিনেও তথা ২১ ফেব্রুয়ারি টেন্ডার ওপেনিংয়ের দিন আবার ধার্য করা হয়েছিল। ২৫টি আইটেমের এই দরপত্র প্রায় সাড়ে তিনমাস পার হলেও ক্রয় কমিটি টেন্ডার মূল্যায়ণে কোন পদক্ষেপ নেয়নি।

টেন্ডারে কারসাজি করতে গিয়ে কর্তৃৃপক্ষ নানা শর্ত জুড়ে দিয়েছে। যেসব শর্ত কোন ভাবেই প্রযোজ্য নয় পিপিআর (পাবলিক প্রকিউরমেন্ট রুলস) অনুযায়ী। টেন্ডার সিডিউলের ২৫টি আইটেমের মধ্যে বেশির ভাগই স্যানেটারি ফিটিংস এন্ড এক্সেসোরিস। এ ব্যবসায় খুচরা ও পাইকারি বাজারে লক্ষাধিক ব্যবসায়ী রয়েছে ৮টি বিভাগীয় শহরে। ২৫টি আইটেমের ম্যানুফ্যাকচারার বা হোম স্ট্যান্ডার্ড প্রস্তুতকারকের অথরাইজেশন লেটার চাওয়া হয়েছে।
আরো অভিযোগ রয়েছে, এ টেন্ডারের নোটিস থেকে শুরু করে টেন্ডার ডকুমেন্ট শিট ও টেন্ডার পিপারেশন পর্যন্ত নানা ধরনের অনিয়মের নীল-নকশা উঠে এসেছে। এর মধ্যে রয়েছে, গত ১৮ জানুয়ারি বিকেল ৪টা ৩০ মিনিটে এ টেন্ডারটির প্রস্তাবনা ছাপানো হয়। পরদিন ১৯ জানুয়ারি বিকেল ৪টা ৪৫ মিনিটে প্রি-টেন্ডার মিটিং করা হয় এমন মিথ্যা তথ্য অনলাইনে সন্নিবেশিত করার কথা বলা হলেও তা আদৌ সত্য নয়। কারণ প্রি-টেন্ডার মিটিং কাদের সঙ্গে করা হয়েছে তা এখন প্রশ্নবিদ্ধ। টেন্ডার ওপেনিংয়ের সময় পেছানো হলেও কারসাজির শর্তে কোন পরিবর্তন করা হয়নি। অথচ বলা হয়েছে টেন্ডারটি সকলের জন্য উন্মুক্ত। কিন্তু টেন্ডার ডকুমেন্ট শিট ও টেন্ডার পিপারেশন পেইজে ক্লিক করলেই দেখা যাবে টেন্ডার প্রক্রিয়া কতটা জটিল করা হয়েছে। টেন্ডারটি সকলের জন্য উন্মুক্ত এই তথ্যটিই যেন প্রশ্নের শিকার। এক কথায় ইজিপিতে নিয়ম নীতির বালাই নেই রেলওয়েতে, চলছে কারসাজির টেন্ডার প্রক্রিয়া। তবে ২৮ এপ্রিলের মধ্যে এ টেন্ডার কার্যক্রম চূড়ান্ত করার বিষয়টিও নিশ্চিত করা হলে ১ জুন পর্যন্ত নিস্পত্তি হয়নি।

আইএসও চাওয়া টেন্ডরে ক্রয়তব্য পণ্যগুলোর মধ্যে রয়েছে, ওয়াটার ট্যাংক স্টেইনার, ওয়াটার ট্যাংক রিং, গ্যালভেনাইজ পাইপ, এলবো, পাইপ সকেট, থ্রি-ফোর থেকে হাফ ইঞ্চি রুপান্তরিত সকেট, প্লাস্টিক কল, পাইপ সংযোগের ইউনিয়ন, দুটি কোচের মধ্যকার এয়ার হোস পাইপকে সংযুক্ত করার সোয়ান ন্যাক, ট্রেন পাইপ, ট্রেন পাইপ নিপল বা পরিমাপ মতো পাইপের টুকরা, পারসেল তাকের এ্যালুমিনিয়াম পাইপ, তাকের ব্র্যাকেট, এস এস পাইপ, চেইন কভার পাইপ, সিটের পেছনে থাকা পানির বোতল ক্যারিয়ার এবং টয়লেটের টিস্যু হোল্ডার। হাতেগোনা ও খোলা বাজারে সহজলভ্য এসব পণ্যের জন্য ম্যানুফ্যাকচারারের অথরাইজেশন লেটার চাওয়া হয়েছে শুধুমাত্র একটি প্রতিষ্ঠানকে টেন্ডারটি লুফে দিতে এমন অভিযোগ টেন্ডার দাখিল করতে না পারা সরবরাহকারীদের।
শর্তের মধ্যে আরো রয়েছে, ৯০/১২০ দিনের মধ্যে এই টেন্ডারের কার্যক্রম শেষ করতে হবে কর্তৃপক্ষকে। টেন্ডার গ্রহীতার যোগ্যতা হিসেবে অনলাইনে সাবমিটের সময় জেনারেল এক্সপেরিয়েন্স, পূর্বে এই পণ্য বা সমজাতীয় পণ্য সরবরাহের দলিলাদি, চুক্তিপত্রের সংখ্যা, চুক্তিপত্রের মূল্য ও সময়, পণ্য সরবরাহের উৎপাদন ক্ষমতা এবং সিডিউল ব্যাংক কর্তৃক প্রদত্ত তরল সম্পদ এবং কার্যকরি মূলধনের স্বক্ষমতা প্রত্যয়ন করতে হবে।













